A T-test is a statistical test that is used to compare the means of two groups.
In biostatistics, the t-test is a commonly used statistical test for comparing the means of two groups. It helps researchers determine if there is a significant difference between the means of two populations based on sample data. The t-test is particularly useful in biomedical research when comparing measurements or outcomes between different groups, such as treatment groups versus control groups, or groups with different characteristics.
T-test in Biostatistics:
- Imagine you're a student and you have two sets of grades from two different classes. You want to know if one class generally scores higher than the other. The t-test helps you figure that out.
- Definition: The t-test is like a detective tool that helps you see if there's a real difference between two groups.
- Student's Example: Let's say you have two classes: Class A and Class B. You collect grades from both classes to compare. The t-test tells you if the difference in grades between the two classes is likely just by chance, or if it's a real difference.
- Explanation: Imagine you have a friend who says, Class A is definitely smarter than Class B!" You think, Hmm, maybe, but let's check. So, you gather grades from both classes and run them through the t-test.
- If the t-test says, Hey, the difference in grades between Class A and Class B could just be random chance, then you might think, Okay, maybe my friend's idea isn't so clear-cut.
- But if the t-test says, Whoa, the difference in grades between Class A and Class B is really unlikely to be just by chance, then you might say, Hmm, looks like my friend might be onto something!
So, the t-test helps you decide if the differences you see between groups are real or if they could have happened just by luck.
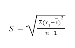
Formulae for T-Test:
S = Standard Error
n1, n2 = No of observations in each of the groups
Formulae for Standard Error:
.png)
.png)